Meropenem ホーム 取扱商品 医薬品
ポインター 取扱商品
 
ポインター 医薬品

 
ポインター 化学品
 
ポインター 健康食品
 
ポインター 医療機器他

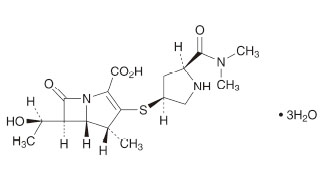
1 一般名 Meropenem Hydrate
2 名称 (4R,5S,6S)-3-[(3S,5S)-5-(Dimethylcarbamoyl)pyrrolidin-3-ylsulfanyl]-6-[(1R)-1-hydroxyethyl]-4-methyl-7-oxo-1-azabicyclo[3.2.0]hept-2-ene-2-carboxylic acid trihydrate
3 CAS No. 119478-56-7
4 分子式 C17H25N3O5S・3H2O
5 分子量 437.51
6 構造式 Cefdinir
7 製造メーカー CSPC Zhongnuo Pharmaceutical (Shijiazhuang) Co., Ltd.
石药集团中诺药业(石家庄)有限公司
http://www.e-cspc.com/
8 その他 MF既取得